Mariló López, profesora de la ETSI de Caminos, Canales y Puertos de la UPM, habla sobre algunas conexiones de las matemáticas y las relaciones de pareja.
Ya es algo asumido por la gran mayoría de las personas que las matemáticas están por todas partes, miremos donde miremos podemos verlas. Hay matemáticas en la publicidad, en la música, el arte, los periódicos, muchas novelas, algunas películas, por supuesto en cualquier obra de ingeniería,… Si esto es así, ¿qué matemáticas encontramos en lo que de verdad más nos importa?, ¿qué pueden hacer las matemáticas por lo que es más importante en nuestra vida?
Y, ¿qué es lo más importante para el ser humano? Hay una vieja canción que dice: “Tres cosas hay en la vida SALUD, DINERO Y AMOR…”
Yo creo que realmente estas tres cosas se reducen a solo una, queremos estar sanos y tener dinero porque eso nos garantiza unas mayores oportunidades para conseguir el amor. De esta forma, lo más importante para nosotros es el amor, sexo o como queramos llamarlo.
Veamos entonces cómo pueden ayudarnos las matemáticas en el tema de las relaciones de pareja. Existen diversos estudios en este campo. Uno de los primeros fue el libro “Matemáticas y sexo”, de Clio Cresswell (matemática, escritora y presentadora de televisión) donde la autora intentó unir sus conocimientos matemáticos, a veces muy avanzados, con el tema del sexo y de las relaciones de pareja.
Abordando este tema es posible introducirse en materias tan variopintas e interesantes como:Proporciones, Teoría de Juegos, Ecuaciones Diferenciales, Teoría del Caos, Redes, Grafos.
Algunos ejemplos
Veamos algunas de las conexiones entre las matemáticas y las relaciones de pareja:
Cuestión de estadística
Desde luego es fácil conectar relaciones sentimentales y matemáticas tan solo pensando en la relación más simple que se puede establecer entre ellas. Ésta se cimienta en los números, las probabilidades y las estadísticas: número de relaciones que tengo que tener hasta encontrar la adecuada, probabilidad de encontrar a mi pareja en el trabajo o en la universidad, porcentaje de personas que triunfan con su primer matrimonio. De esta forma, la estadística puede aportar mucho al tema del amor simplemente mostrando los datos y el análisis de los mismos.
Nos obstante, destacar que muchas veces quizás es mejor no saber. Si nos planteamos la probabilidad de encontrar a nuestra media naranja a lo largo de nuestra vida, la estadística nos mostraría que dicha probabilidad es muchísimo menor que la de que te toque la primitiva.
Seducir a través de impresionar
Existe otra clara conexión basada en la idea de seducción a partir de impresionar a la pareja. Para eso las matemáticas suelen ser infalibles, como pocos las conocen y entienden, puedes alardear de tus conocimientos con facilidad, pese a que estos sean escasos.
Un chico que alardea de su sabiduría matemática suele impresionar. Tristemente, una chica que lo hace, suele dar cierto “miedito”. Hay que intentar cambiar esto, pero hoy en día la realidad es la que es.
La estética
Pese a quien pese, por mucho que se diga que la belleza está en el interior, si hay un parámetro determinante, al menos al principio de una relación, este es “la belleza”. Pero resulta que la belleza no es un elemento subjetivo, se cimienta en un concepto matemático.
Existe un concepto asociado a los números de gran importancia en todos los campos, este es la idea de la relación entre las cosas. En general somos en función de lo que nos rodea, en función de los demás. Muchos conceptos con los que nos encontramos dependen de la comparación entre elementos. Alguien será alto o bajo en función de una comparación entre estaturas, rápido o lento, gordo o flaco, en función de con quién se le compare. El concepto matemático que anda detrás de esta idea es el de razón o proporción.
Estéticamente, a lo largo de la historia, los artistas de todas las áreas han defendido que las magnitudes proporcionadas producen una sensación estética agradable. Si esto es así, la belleza no debe considerarse como algo puramente subjetivo, podría medirse en cierta forma y estaría íntimamente ligada con los números y por tanto con las matemáticas.
No obstante, afirmar que la observación de elementos en proporción nos produce placer, está justificada por el predominio de la proporcionalidad en el mundo que nos rodea, en la naturaleza.
De entre todas las proporciones, existe una realmente interesante asociada a nuestro entorno: “la proporción aurea”, la cual, misteriosamente aparece de forma sistemática en rostros considerados bellos, como en los actores. Tom Cruise, Penélope Cruz o Antonio Banderas son “rostros de oro”, tienen en su cara la proporción aurea.
No es cuestionable que en el ser humano, al igual que en otros animales, existen unas proporciones que pueden comprobarse fácilmente:
-Una palma es la anchura de cuatro dedos.
-Un pie es la anchura de cuatro palmas.
-Un antebrazo es la anchura de seis palmas.
-La altura de un hombre son cuatro antebrazos (24 palmas).
Cuanto más cumplimos esas relaciones, esas fórmulas matemáticas, más guapos y atractivos resultamos. Así, la atracción física se reduce a verificar lo mejor posible unas relaciones matemáticas.
Con todo esto podemos concluir que, hoy en día, la madrastra de Blancanieves ya no tendría que preguntarle a su espejo mágico quién es la más bella de las mujeres porque podía obtener la respuesta con un metro, papel, boli y un poquito de Matemáticas.
Yo no sé si la belleza se puede definir o medir pero, evidentemente, la belleza es orden, armonía y equilibrio, características estas de las Matemáticas.
Teoría de la decisión y teoría de juegos
Cuando a uno le abordan en una fiesta, la persona que lo hace ha tomado una decisión en función de las opciones que tenía disponibles en ese momento. Escribir las ecuaciones que llevan a esa decisión es adentrarse en la Teoría de la Decisión Discreta. Por otro lado, cuando uno sale de juerga un sábado por la tarde con sus amigos, quiere una noche fructífera de “ligoteo” no solo para él, también la quiere para sus colegas. En este caso nos adentramos en la Teoría de Juegos.
La Teoría de Juegos es el área de la matemática aplicada que utiliza modelos para estudiar interacciones en estructuras (juegos) y llevar a cabo procesos de decisión. Cada jugador intenta conseguir el mejor resultado posible. Podemos encontrarnos:
– Juegos de suma cero: En este tipo de juegos cada uno de los dos jugadores implicados gana lo que pierde el otro. Este es el caso de muchas situaciones en las relaciones: uno maneja el mando a distancia de la televisión, el otro no; uno elige el color de las paredes, el otro acata o cuando uno lucha por una persona con otro competidor, normalmente, uno se la lleva y el otro se queda sin ella (no entraremos en relaciones abiertas “muy liberales”, en las que puedan realizarse ciertos apaños).
-Juegos de no suma cero: en ellos cada jugador tiene su propia tabla de beneficios. En este caso, los jugadores pueden plantearse cooperar, pueden escoger una línea de acción óptima para todos. Tal es el caso en el que un grupo de amigos o amigas salen a ligar, y en lo que se busca que todos puedan conseguir “algo”.
Modelando el amor: Ecuaciones diferenciales
Si algo hace bien la matemática aplicada es servir de modelo para representar procesos dinámicos. Las matemáticas son el estudio de patrones y modelos; su descubrimiento, interconexiones e implicaciones. En el contexto del amor y las relaciones, las matemáticas pueden describir algunos de los comportamientos, patrones y situaciones. Todo ello lleva a las herramientas de modelización por excelencia en matemáticas: las ecuaciones diferenciales y los sistemas de ecuaciones diferenciales.
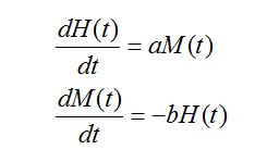
Supongamos, por ejemplo, una pareja de enamorados en la que el chico está enamorado de la chica pero, en este caso, ella resulta una enamorada voluble; cuanto más la ama él, más ganas tiene ella de largarse y cuanto menos caso la hace, más atractivo lo encuentra. Por su parte, él se enciende si ella lo quiere y se enfría si ella lo rechaza. Matemáticamente sería:

Donde H representa el amor del chico hacia la chica y M el de la chica hacia el chico, y a y b son dos constantes positivas.
Nos encontramos dentro de los sistemas de ecuaciones diferenciales lineales autónomos. En general, una amplia gama de fenómenos naturales son modelados por sistemas de esta forma. La teoría matemática resuelve este tipo de problemas estudiando además su comportamiento cualitativo, es decir, la estabilidad de las soluciones (estabilidad de las relaciones en este caso) y su comportamiento ante pequeños cambios en las condiciones que rodean a la pareja: llegada de una vecina muy guapa al edificio donde viven, cambios laborales en alguno de los miembros.
De esta forma, esta parte de las Matemáticas tiene mucho que decir sobre una determinada relación si somos capaces de modelarla.
Conclusión
En este texto solo se ha querido recoger una pequeña muestra de lo que las matemáticas pueden hacer en el campo de las relaciones personales. Habría mucho más que decir pero sirva esta muestra como una introducción al tema.
* Mariló López González es profesora del departamento de Matemática e Informática Aplicadas a la Ingeniería Civil y Naval de la ETSI Caminos, Canales y Puertos de la UPM.
Comentarios recientes